文章来源于互联网:73年前,香农已经给大模型发展埋下一颗种子
AI 考古,追溯到了祖师爷头上。
-
Hopfield 网络(美国科学家 Hopfield 同时在贝尔实验室和普林斯顿大学任职)。 -
ConvNets -
Boosting/Adaboost -
非负矩阵分解 -
支持向量机(SVM)和核机 -
结构化预测 -
计算学习理论 / VC 理论中的大量内容
-
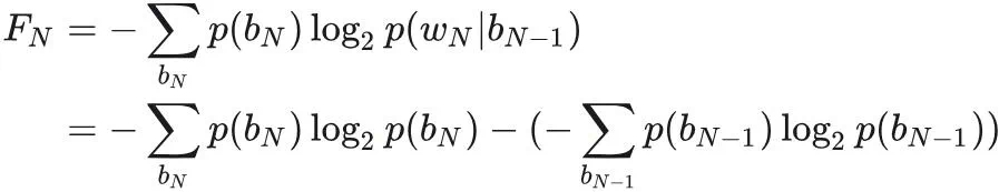
语言的熵是衡量每个字母平均产生的信息量的统计参数。如果语言被最有效地转换成二进制数字(0 或 1),熵表示每个字母平均需要的二进制数字数量。 -
冗余度则衡量由于语言的统计结构(如字母频率、特定字母的后续趋势等)对文本施加的约束。
文章来源于互联网:73年前,香农已经给大模型发展埋下一颗种子






