文章来源于互联网:鄂维南院士领衔新作:大模型不止有RAG、参数存储,还有第3种记忆
2.4B 的 Memory3比更大的 LLM 和 RAG 模型获得了更好的性能。

-
论文地址:https://arxiv.org/pdf/2407.01178 -
论文标题:Memory3 : Language Modeling with Explicit Memory



-
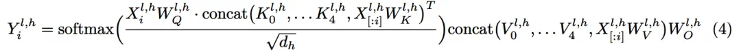
Memory3 在推理过程中利用显式记忆,减轻了模型参数记忆特定知识的负担; -
显式记忆是从构建的知识库中编码而来的,其中稀疏记忆格式保持了真实的存储大小; -
研究者从头开始训练了一个具有 2.4B 非嵌入参数的 Memory3 模型,其性能超过了更大规模的 SOTA 模型。它还比 RAG 具有更好的性能和更快的推理速度; -
此外,Memory3 提高了事实性并减轻了幻觉,并能够快速适应专业任务。












文章来源于互联网:鄂维南院士领衔新作:大模型不止有RAG、参数存储,还有第3种记忆