文章来源于互联网:ECCV 2024 | 让GPT-4图像理解更易出错,全新策略增强VLP模型对抗迁移性

AIxiv专栏是机器之心发布学术、技术内容的栏目。过去数年,机器之心AIxiv专栏接收报道了2000多篇内容,覆盖全球各大高校与企业的顶级实验室,有效促进了学术交流与传播。如果您有优秀的工作想要分享,欢迎投稿或者联系报道。投稿邮箱:liyazhou@jiqizhixin.com;zhaoyunfeng@jiqizhixin.com
-
论文题目:Boosting Transferability in Vision-Language Attacks via Diversification along the Intersection Region of Adversarial Trajectory -
论文链接:https://arxiv.org/pdf/2403.12445 -
代码链接:https://github.com/SensenGao/VLPTransferAttack
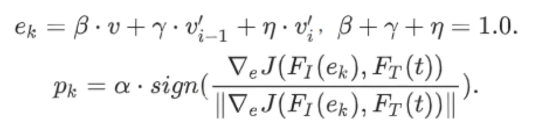
、倒数第二个对抗图像
和最终对抗图像
构成的三角区域。此外,我们设置了可调节的系数因子,其中
。












