文章来源于互联网:中科院计算所团队提出CarbonNovo,基于AI进行蛋白质结构和序列的端到端从头设计
编辑 | ScienceAI
近期,中国科学院计算所张海仓带领的研究团队提出了 CarbonNovo,以端到端的方式联合设计蛋白质主链结构和序列。
该研究以「CarbonNovo: Joint Design of Protein Structure and Sequence Using a Unified Energy-based Model」为题发表在机器学习会议 ICML 2024 上。
背景介绍
蛋白质是生物执行功能的重要大分子。蛋白质从头设计旨在创造全新的蛋白质,在药物开发和酶工程中有着广泛的应用。
近几年,基于 AI 的蛋白质从头设计快速发展,已被成功应用于抗体设计、小蛋白药物设计等领域,和传统设计方法相比,其显著提高了设计成功率和效率。
AI 蛋白质设计得益于近几年的两大技术突破:
一是蛋白质结构预测领域的 AlphaFold2 模型,它为蛋白质计算领域包括蛋白质设计领域,提供了基础的神经网络模型架构、蛋白质序列表示和结构表示方法、以及先进的训练策略(蒸馏训练、端到端训练)等技术;
二是 AIGC 在文字、图像、视频生成领域的快速发展,为蛋白质设计提供了成熟的生成模型,例如 DDPM, SDE, Flow Matching,Bayesian Flow Network 等。代表性的蛋白质设计模型,例如 RFDiffusion 和 Chroma 等,主要思路都是将这两大技术融合,将蛋白质的序列和结构表示网络嵌入到基于 AI 的生成模型框架中。
蛋白质从头设计主要包含两个步骤,蛋白质主链结构设计和序列设计(图1)。相应地,当前的主流模型通常采用「两阶段」框架进行:在训练过程中,结构设计模块和序列设计模块分别训练;在推断过程中,首先生成主链结构,然后为主链结构生成最优序列。代表性地,领域内使用 RFDiffusion 和 ProteinMPNN 这两个软件,依次生成主链结构和序列。
蛋白质从头设计的「两阶段」框架存在固有的局限性:
CarbonNovo进行端到端的结构和序列联合设计
针对蛋白质设计「两阶段」框架的局限性,中科院计算所张海仓带领的研究团队提出 CarbonNovo,以端到端的方式联合设计蛋白质主链结构和序列。论文近期已于近期发表在机器学习会议 ICML 2024 上。
图 2:CarbonNovo 端到端生成蛋白质结构和序列。(来源:论文)
CarbonNovo 的主要贡献总结如下:
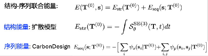
蛋白质结构-序列的联合能量模型
在经典物理模型下,天然蛋白质构象具有比较低的自由能,这也是蛋白质结构预测和设计的一般假设。基于此,CarbonNovo 建立了蛋白质结构和序列的联合能量模型:
图 2 展示了 CarbonNovo 的具体生成过程:
CarbonNovo 生成蛋白质结构-序列的性能评测

论文采用多种指标充分评价了 CarbonNovo 在蛋白质从头设计方面的性能 (图 3),例如,可折叠性、多样性、新颖性是领域内常用的评价指标。此外,论文还采用了 Rosetta 能量和语言模型下的似然概率(Sequence plausibility)作为评价指标。
CarbonNovo 和当前主流的「两阶段」设计模型做了比较,例如 RFdiffusion, Chroma, Genie, FrameDiff 和 FrameFlow。在最关键的可折叠性指标上 CarbonNovo 显著超过了所有基线方法,在其他指标上也显著超过基线方法或者和基线方法相当。
为了展示 CarbonNovo 在联合设计序列与结构方面的优势,作者还对比了使用 ProteinMPNN 生成序列的结果(图 3 a-c)。可以观察到,联合设计模型可以设计出更加匹配的蛋白质主链结构和序列。

作者进一步评估了 CarbonNovo 在不同长度的蛋白质设计上的性能(图 4)。在设计比较短的蛋白质时(例如长度 100),各个模型的表现相当。而随着蛋白质长度增长,CarbonNovo 的设计性能显著优于「两阶段」设计模型。
消融实验

作者训练了多个消融模型,以评估关键组件对 CarbonNovo 性能的相对贡献(图 5)。语言模型、序列设计模块和辅助训练损失对 CarbonNovo 的性能都有贡献。其中,语言模型的引入表现出最显著的贡献。此外,使用基于能量的序列设计模块相比自回归模型,也能显著提升序列设计的性能。
Case study:蛋白质结构「插值」
在图像生成领域,人脸图片插值/渐变是生成模型比较经典的应用。作者也尝试利用 CarbonNovo 进行蛋白质结构的插值。
图 5 展示了一个代表例子,随着在隐空间逐渐增加 all alpha-helices 结构向量的权重,生成的 all beta-sheets 结构会逐渐过渡到 all alpha-helices 结构。
这是领域内第一个关于蛋白质结构的插值实验,也体现了 CarbonNovo 学习到的蛋白质隐空间比较紧致。
结语
最后作者指出,虽然 CarbonNovo 主要侧重于蛋白质单体设计,但它也可以很容易被扩展到蛋白质复合物设计和条件设计,如多肽设计、抗体设计等。
作者团队目前在跟生物实验团队合作,通过湿实验的方式验证 CarbonNovo 设计的蛋白质。
作者所在 CarbonMatrix 团队,长期致力于 AI 蛋白质设计和 AI 药物设计,正在建立生物大分子结构设计和预测的统一生成模型。
其研究成果多次发表在 ICML、NeurIPS 等顶级机器学习会议和 Nature Machine Intelligence、Nature Communications 等顶级学术期刊上,目前也在和生物实验室合作,积极推动 AI 模型在药物设计领域的产业化落地。





