文章来源于互联网:北大林宙辰团队全新混合序列建模架构MixCon:性能远超Mamba
AIxiv专栏是机器之心发布学术、技术内容的栏目。过去数年,机器之心AIxiv专栏接收报道了2000多篇内容,覆盖全球各大高校与企业的顶级实验室,有效促进了学术交流与传播。如果您有优秀的工作想要分享,欢迎投稿或者联系报道。投稿邮箱:liyazhou@jiqizhixin.com;zhaoyunfeng@jiqizhixin.com

-
论文标题:MixCon: A Hybrid Architecture for Efficient and Adaptive Sequence Modeling -
论文地址:https://zhouchenlin.github.io/Publications/2024-ECAI-MixCon.pdf
降低到
或
,但在处理长序列时可能会面临性能下降和计算开销增加的问题。
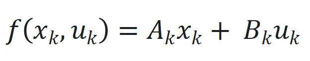
和
,其中
、
和
分别为时间步
的状态、输入和输出,
和
是非线性函数,可由神经网络近似。
,其中
和
是可学习参数矩阵。
,
是可学习参数矩阵。
,以及引入延迟状态
和动态状态缩放机制
。
来捕捉长程依赖和适应序列动态变化。
和期望输出
之间的跟踪误差
。
通过
更新,其中
是跟踪误差向量
的 2 范数,
是学习率。
的非线性部分和观察函数
,通过端到端训练确定最佳参数。
用 SwiGLU(基于 Swish 和 GLU 的混合激活函数)近似,其公式为
。
和观察噪声
,
,增强模型对扰动的适应性。










文章来源于互联网:北大林宙辰团队全新混合序列建模架构MixCon:性能远超Mamba
