文章来源于互联网:勾股定理还能这样证明?高中生一连发现10种证明方法,陶哲轩点赞
论文已上期刊,数学家表示赞叹。





-
论文标题:Five or Ten New Proofs of the Pythagorean Theorem
-
论文链接:https://www.tandfonline.com/doi/full/10.1080/00029890.2024.2370240#abstract

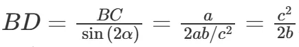
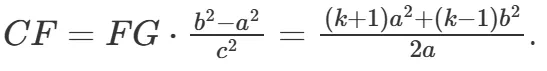
但 BE 是 △𝐵𝐹𝐸 的较长直角边,因此 △𝐵𝐹𝐸 的斜边 BF 的长度为








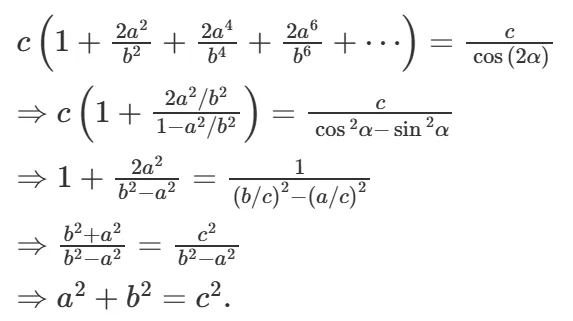
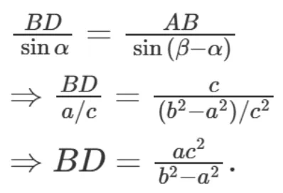
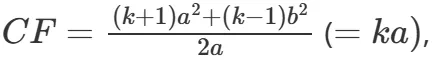
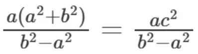
,化简可得 𝑎²+𝑏²=𝑐²。



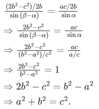
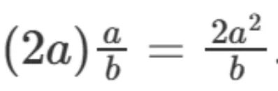
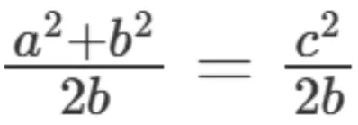
,消去 2b 后可得 𝑎²+𝑏²=𝑐²。














文章来源于互联网:勾股定理还能这样证明?高中生一连发现10种证明方法,陶哲轩点赞