文章来源于互联网:NeurIPS 2024|浙大 & 微信 & 清华:彻底解决扩散模型反演问题
AIxiv专栏是机器之心发布学术、技术内容的栏目。过去数年,机器之心AIxiv专栏接收报道了2000多篇内容,覆盖全球各大高校与企业的顶级实验室,有效促进了学术交流与传播。如果您有优秀的工作想要分享,欢迎投稿或者联系报道。投稿邮箱:liyazhou@jiqizhixin.com;zhaoyunfeng@jiqizhixin.com

-
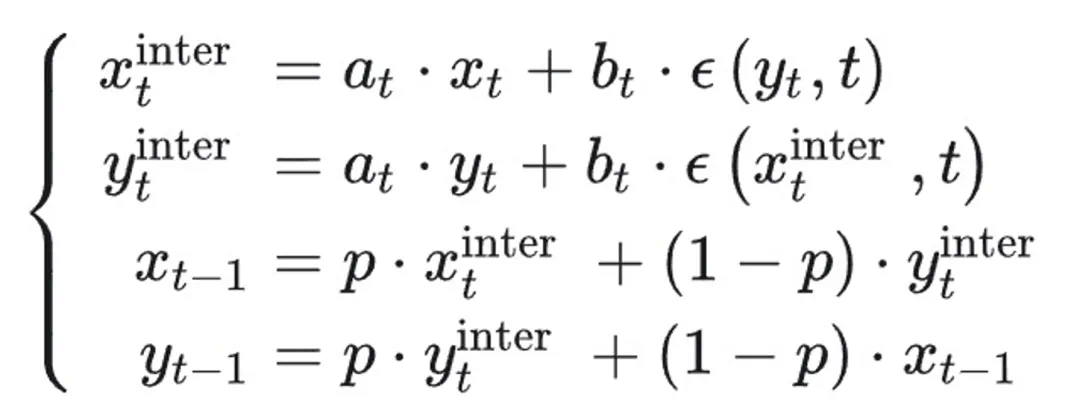
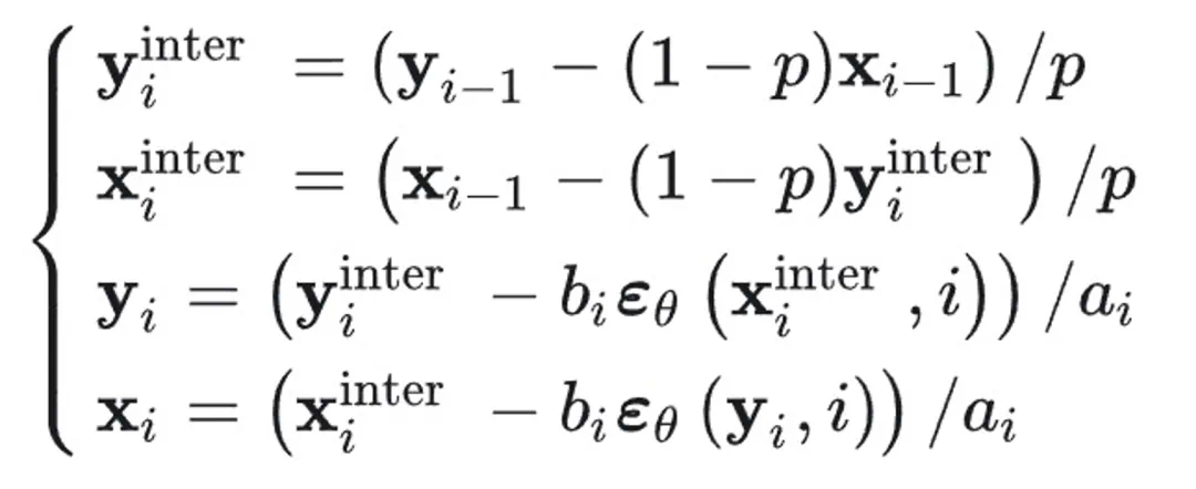
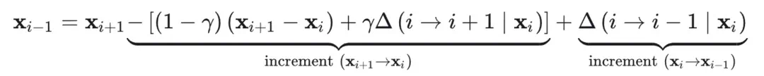
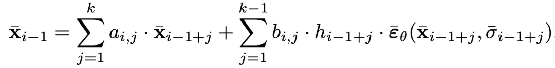
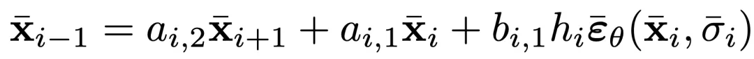
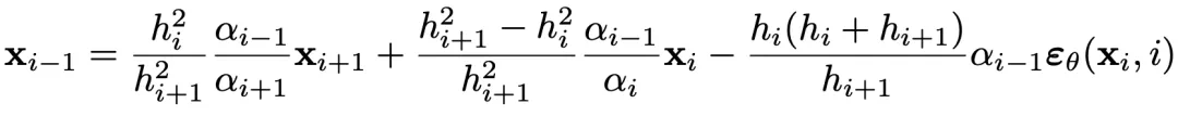
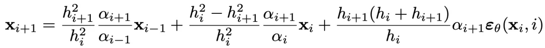
论文题目:BELM: Bidirectional Explicit Linear Multi-step Sampler for Exact Inversion in Diffusion Models
-
论文链接:https://arxiv.org/abs/2410.07273
-
项目地址:https://github.com/zituitui/BELM





























