文章来源于互联网:与1500多支国内外队伍同台竞技,快手在NeurIPS 2024顶级大赛中上演双杀
这几天,学术圈的小伙伴肯定都很关注正在加拿大温哥华举办的机器学习顶会——NeurIPS 2024。本届会议于今日落下帷幕,共接收 15671 篇有效论文投稿,比去年增长了 27%,最终接收率为 25.8%。
本届会议上同样值得关注的,还有一项重要的赛事,它就是「NeurIPS 2024 Auto-Bidding in Large-Scale Auctions」(大规模拍卖中的自动出价),旨在探索当前火热的强化学习、生成模型、Agent 等前沿 AI 技术在广告投放以及决策智能场景的应用。
该赛事不仅是业内首次广告出价比赛,也是 NeurIPS 2024 唯一的搜广推比赛,可以说规格和含金量都很高,也因此收获了超高的热度,吸引超过 1500 支队伍参赛,其中不乏国内外知名高校和公司、专业研究机构以及决策智能领域知名团队的身影。
赛事主页:https://tianchi.aliyun.com/specials/promotion/neurips2024_alimama#/
简单来说,在比赛中,参赛者扮演自动出价 Agent(即广告主),在大规模拍卖环境下与其他 47 个竞争对手对抗,作出有效的出价决策,并在满足投放需求的情况下帮助广告主最大化投放效果。
从①到⑤为典型广告平台的自动出价全流程。
此次比赛分为了两个赛道,分别是通用赛道和 AIGB(AI-Generated Bidding)赛道。两个赛道侧重点各有不同,对参赛队伍提出了不同的技术要求,其中:
-
通用赛道关注不确定环境中的自动出价,需要解决数据稀疏性、转化方差、多坑等不确定问题;
-
AIGB 赛道使用生成模型来学习自动出价 Agent,需要采用生成模型来端到端输出决策。
算起来,自今年 6 月底注册阶段开始,经过了近半年的激烈角逐,比赛终于决出了胜负!
快手商业化算法团队(简称快手团队)从千余支队伍中脱颖而出,包揽了两个赛道的第一名,成为本次赛事最大赢家。

,同时其他竞争广告主利用他们的单独的出价 Agent 出价
,来竞争 3 个广告坑位。其中,出价会依赖转化概率值,
定义为广告主 j 的广告曝光给用户时的转化动作概率,
定位为预估的标准差。
表示是否获胜,
表示赢得的广告坑位,
表示需要支付的费用。
不仅取决于
还取决于
。
是否曝光给用户由随机变量
决定,其中
是广告坑位
的曝光概率。实际是否发生转化也是一个随机变量,定义为
,其中
,
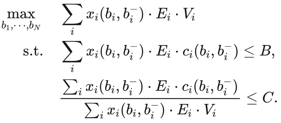
为预估标准差。如果广告坑位未曝光,广告主无需支付费用,转化也不会发生。因此,这个任务可以形式化如下:


对应优化目标最大化转化
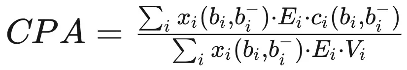
,在超成本即实际 CPA > C 时,P (CPA; C) < 1,会对转化进行降权。
结合最优化理论和强化学习在线搜索。-
优化目标对齐能力弱:一次性生成一条序列,序列之间约束较弱,甚至学不出剩余预算单调递减这一性质;
-
训练效率低:是两阶段范式,首先预测状态序列 {s_{t+1},s_{t+2},…,s_{T}},然后根据 {s_t,s_{t+1}} 预测最终出价,训练较为复杂。
Decision Transformer with RTG-driven Explorations-
首先训练模型预估下一时刻的 RTG,具备评估探索的出价系数好坏的能力。
-
模型朝着原始出价系数和探索到的出价系数中更优的出价系数更新,避免 OOD 问题。


