文章来源于互联网:再次颠覆学界想象,何恺明发表新作:扩散模型不一定需要噪声条件

-
论文标题:Is Noise Conditioning Necessary for Denoising Generative Models?
-
论文地址:https://arxiv.org/pdf/2502.13129












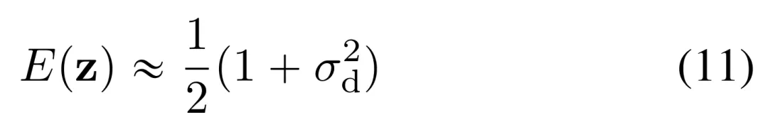
,其中 σ_d 为数据标准差。由于
是应用于网络 NN_θ 的系数,因而研究者将其设置为常数以使该网络不用建模一个 t – 依赖尺度。在实验中,这种简单的设计表现出了比 EDM 更低的误差上限(陈述 3),因而被命名为了 uEDM,它是无噪声条件的缩写。-
扩散:iDDPM、ADM、uEDM
-
基于流的模型:此处采用了 Rectified Flow (1-RF)
-
一致性模型:iCT ECM




文章来源于互联网:再次颠覆学界想象,何恺明发表新作:扩散模型不一定需要噪声条件

