文章来源于互联网:李飞飞团队「具身智能」最新研究:机器人接手所有家务









-
JoyLo(Joy-Con on Low-Cost Kinematic-Twin Arms);
-
WB-VIMA(Whole-Body VisuoMotor Attention)。



-
高效的全身协调控制系统,实现复杂动作的流畅衔接;
-
丰富的用户反馈机制,带来直观的远程操作体验;
-
确保高质量的示范动作,提升策略学习效果;
-
低成本实现方案,大幅提高系统可及性;
-
实时、便捷的控制器设计,确保操作无缝顺畅。
-
物料清单地址:https://behavior-robot-suite.github.io/docs/sections/joylo/overview.html#bill-of-materials-bom
-
组装说明:https://behavior-robot-suite.github.io/docs/sections/joylo/step_by_step_assembly_guidance.html

-
Q1:BRS 支持哪些类型的家庭任务?
-
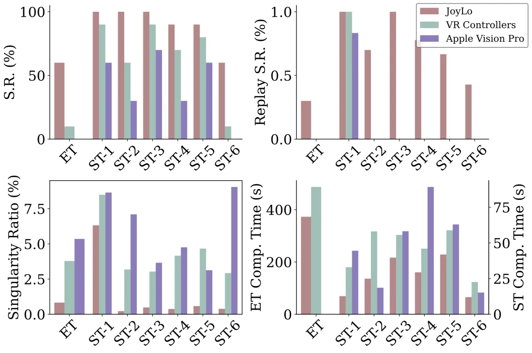
Q2:JoyLo 与其他方法相比表现如何?
-
Q3:WB-VIMA 是否优于基线方法?
-
Q4:哪些组件促成了 WB-VIMA 的有效性?
又比如,机器人打扫餐桌。机器人从客厅出发,导航到厨房的洗碗机(子任务 1)并打开洗碗机(子任务 2)。然后,它移动到游戏桌(子任务 3)收集碗(子任务 4)。最后,机器人返回洗碗机(子任务 5),将碗放入洗碗机内并关闭洗碗机(子任务 6)。稳定且精确的导航是完成这一任务的最关键能力。 

-
JoyLo 整体任务成功率是 VR 控制器的 5 倍(Apple Vision Pro 无人完成全任务);
-
中位完成时间较 VR 控制器缩短 23%;
-
在铰接物体操作等精细任务中表现突出。

-
所有参与者最终评价 JoyLo 为最友好交互;
-
70% 用户最初认为 IK 更直观,但实操后偏好逆转;
-
用户反馈 IK 方法在移动底座 / 躯干控制上存在显著困难。





文章来源于互联网:李飞飞团队「具身智能」最新研究:机器人接手所有家务