文章来源于互联网:ICLR 2025 Spotlight|让机器人实现「自主进化」,蚂蚁数科、清华提出具身协同框架 BodyGen


-
论文题目:BodyGen: Advancing Towards Efficient Embodiment Co-Design -
论文地址:https://arxiv.org/abs/2503.00533 -
项目代码:https://github.com/GenesisOrigin/BodyGen

-
信息收集:首先收集机器人各个部位的信息(位置、速度等) -
中央处理:所有信息在「大脑」(Transformer 网络)中进行交流和处理 -
指令发送:处理后的信息转化为具体动作指令,告诉机器人如何移动
-
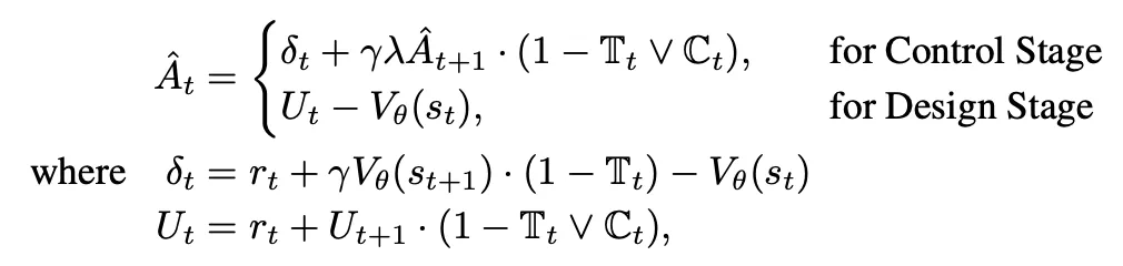
BodyGen 让 AI 同时负责两件事:设计机器人的身体和控制机器人的动作。 -
设计动作:AI 可以给机器人「长出」新的肢体,「剪掉」不需要的部分,或保持现有结构 -
控制动作:AI 学习如何控制机器人的每个关节来完成任务(如行走、跳跃)






-
肢体生长:机器人的形体向下生长出一个额外的肢体 -
肢体退化:机器人的形体删除一个指定的肢体 -
肢体维持:机器人的形体维持某一个肢体不变






-
环境适应性机器人设计:针对特定环境需求,快速生成最优形态与控制策略,显著缩短机器人设计周期,提升开发效率; -
仿生机器人研究:通过模拟生物运动机理,设计仿生足、鳍、翼等结构,为探索生物运动原理提供可计算平台; -
虚拟人物动作生成:基于物理引擎的高效动作优化,为游戏、动画制作及虚拟角色行为生成提供技术支持。
文章来源于互联网:ICLR 2025 Spotlight|让机器人实现「自主进化」,蚂蚁数科、清华提出具身协同框架 BodyGen