在心血管疾病预防中,一个长期存在的难题是:许多疾病在发病前已在体内潜伏多年,但要在早期准确判断一个人未来是否会同时面临多种心血管疾病风险,并不容易。
以往的风险评估主要依赖年龄、血压、血脂等常规临床指标,或多基因遗传风险评分。然而心血管疾病往往是一个长期演变、可能同时出现多种结局的过程,单一指标或针对单一疾病的预测方式,很难全面反映真实风险。
随着大规模人群队列和高通量分子检测技术的发展,研究者发现血液中的蛋白质和代谢物能够更直接地反映身体当前的生理状态以及疾病进程。这些分子信号不仅受到遗传因素影响,也会随环境和生活方式变化,为长期风险评估提供了新的信息来源。
在此背景下,由香港大学数据科学研究院及药理与药剂学系副教授张清鹏领衔的研究团队,基于 UK Biobank 大规模前瞻性人群数据,开展了一项多组学信息与人工智能相结合的研究。
研究团队不再局限于“一病一模型”的思路,而是将蛋白组和代谢组信息纳入统一框架,同时评估多种心血管疾病的长期风险。相关成果以《AI-based multiomics profiling reveals complementary omics contributions to personalized prediction of cardiovascular disease 》为题发表于 Nature Communications,为心血管风险研究提供了一种更整体、也更贴近真实人群的研究路径。
论文地址:https://www.nature.com/articles/s41467-026-68956-6
文章目录
Toggle用血液多组学信息,系统评估多种心血管疾病风险
这项研究的核心发现是:在传统临床指标的基础上,引入血液多组学信息,可以显著提升对心血管疾病长期风险的预测能力,而且这种提升在多种心血管疾病中都表现得稳定一致。
研究基于 UK Biobank 的长期随访数据,采用分阶段的方式构建和验证模型。研究团队提出了 CardiOmicScore 框架,分别利用血液中的 2,920 种蛋白质和 168 种代谢物,训练了两类人工智能模型,并由此生成了两种疾病特异性风险评分:基于蛋白组的 ProScore 和基于代谢组的 MetScore。
与传统只针对单一疾病构建的风险评分不同,这两种评分是在同一模型中同时纳入多种心血管疾病进行训练,系统性地捕捉了多种心血管疾病之间的共性生物学特征及其各自的分子差异,最终会为每一种疾病分别生成对应的风险评分。在随后纳入约 2.4 万名基线时未患心血管疾病的验证人群中,研究者系统评估了这些风险评分的预测效果。
(图1. 研究设计与分析流程。a. 研究人群;b. 模型开发流程;c. 模型性能评估。)
结果显示,即使不依赖任何传统临床指标,ProScore和MetScore本身就已经具备较强的风险识别能力,能够在疾病发生前十年以上发出预警信号。其中,基于蛋白组的ProScore预测效果最为稳定,其区分高风险与低风险人群的能力(C-index在0.69-0.82之间)明显优于多基因风险评分(C-index在0.52-0.60之间),在部分心血管结局中接近常用的临床风险模型。基于代谢组的MetScore表现(C-index在0.64-0.74之间)略弱于ProScore,但整体仍优于多基因风险评分。雷峰网
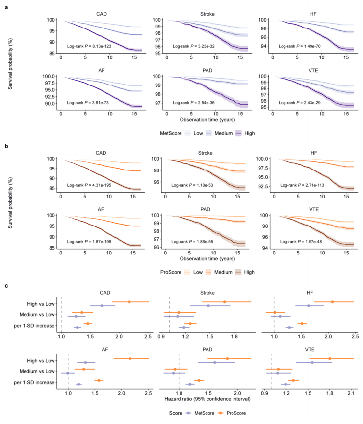
在真实人群中,这些多组学评分也能清晰区分不同风险水平,识别出更容易发生心血管事件的个体。无论是蛋白组还是代谢组评分,高风险人群在随访期间发生心血管疾病的概率始终显著高于低风险人群,而且这种差异在六种心血管疾病中均一致存在。
(图2. MetScore 与 ProScore 对心血管疾病风险的区分能力。a. 按MetScore分层的生存概率;b. 按ProScore分层的生存概率;c. MetScore和ProScore与心血管疾病风险的关联强度。)
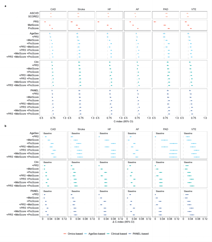
进一步分析发现,多组学信息在现有临床评估基础上能提供额外价值。无论模型中已包含多少临床信息,只要加入蛋白组或代谢组评分,预测效果都会明显提升,其中蛋白组评分带来的改善最为突出,代谢组次之,而多基因风险评分的提升相对有限。这表明,多组学信号反映的是传统临床检查难以直接捕捉的分子层面风险。
(图3. 多组学信息对心血管疾病的预测性能。a. 模型的判别能力;b. 加入多组学信息后基线临床模型预测性能的变化。)
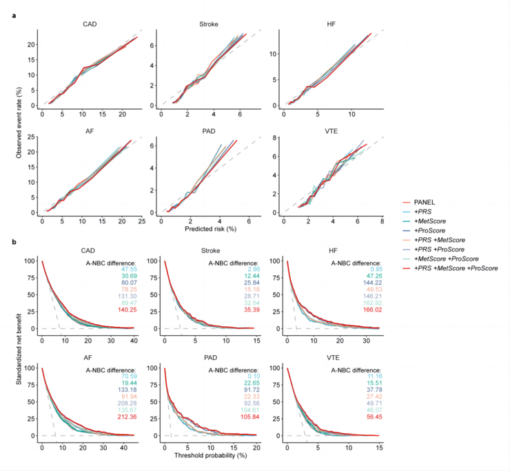
从实际应用角度看,加入多组学信息后的模型预测结果稳定可靠,预测风险与真实事件发生率高度一致,不会系统性高估或低估风险。在多种模拟的临床决策场景中,这类模型显示出更高的潜在收益,有望在减少不必要干预的同时,更早、更准确地识别真正的高风险人群。
(图4. 心血管疾病预测模型的校准能力和净收益曲线。a. 校准曲线;b. 净收益曲线。)
为了理解模型“为什么这样预测”,研究者通过 SHAP 方法进一步分析了模型最依赖的分子特征。结果显示,一些临床上早已熟知的指标仍然是核心预测因子,例如与心脏负荷相关的 NT-proBNP 和 NPPB 蛋白,以及反映肾功能和营养状态的肌酐和白蛋白。
在此基础上,模型还识别出了一批具有潜在价值的新型生物标志物。在蛋白组中,GDF15、MMP12、FASLG 和NEFL 显示出较强的预测能力;在代谢组中,谷氨酰胺、脂肪酸、糖蛋白乙酰基(GlycA)以及多种脂质相关分子同样具有重要作用。
这些分子在不同心血管疾病中的表现并不完全相同,为深入理解心血管疾病的复杂分子机制,以及探索新的干预靶点提供了线索。这些分子的作用模式,与心肌应激、炎症反应和代谢紊乱等已知病理过程高度一致,说明模型确实抓住了心血管疾病的关键生物学信号。
(图5. 心血管疾病风险预测中具有代表性的关键代谢物和蛋白质。a. 关键代谢物;b. 关键蛋白质。)
(图6. 代谢物和蛋白质在心血管疾病风险预测中的相对贡献。a. 代谢物的预测贡献;b. 蛋白质的预测贡献。)
基于大规模人群数据的研究设计与模型验证
这项研究依托 UK Biobank 大规模前瞻性队列开展。研究采用了“先开发、再验证”的严谨设计:首先利用只包含单一组学信息的大规模人群数据训练模型,其中包括约 22 万名具有代谢组数据的参与者和约 1.9 万名具有蛋白组数据的参与者;随后,再在一组同时具备遗传、代谢和蛋白信息、且基线时没有心血管疾病的 2.4 万名个体中进行独立验证。这些人群的中位随访时间约为 15 年,使研究能够充分观察心血管疾病的长期发生过程。雷峰网(公众号:雷峰网)
研究重点关注了六种常见且临床负担较重的心血管疾病。所有疾病结局均通过医院住院记录和死亡登记信息进行确认,确保了结果判定的可靠性和一致性。随访时间从基线评估开始,一直持续到疾病发生、死亡、失访或随访结束。
在数据层面,研究整合了三类关键信息。遗传风险通过既往全基因组关联研究中已验证的遗传变异构建,用来反映个体的先天易感性;代谢组数据来自血液样本,涵盖脂质、脂蛋白、氨基酸以及炎症相关代谢物,能够反映机体当前的代谢状态;蛋白组数据则一次性检测了近 3,000 种循环蛋白,覆盖炎症、免疫、代谢调控和心血管结构重塑等多种关键生物过程。
在此基础上,研究团队开发了一套名为 CardiOmicScore 的人工智能模型框架,分别针对蛋白组(ProNet)和代谢组(MetNet)信息构建风险预测模型。该框架的一个重要特点是,它既能学习多种心血管疾病之间的共通生物学特征,也能同时捕捉每一种疾病特有的分子信号。模型最终输出的是连续的风险评分,而不是简单的“有病或没病”,因此更适合用于长期风险评估。
在验证阶段,研究采用了严格的独立测试策略,确保模型在新的人群中依然有效。模型性能不仅通过常用的预测准确度指标进行评估,还结合了校准分析和决策曲线分析,系统检验其在真实临床使用场景中的可靠性和潜在价值。
此外,研究还对模型进行了深入解释,分析哪些具体的蛋白和代谢物在风险预测中起到了关键作用。这一步使得模型的预测结果能够与已知和潜在的生物学机制相对应,而不是停留在“黑箱预测”的层面。
一个可持续扩展的心血管风险评估模型框架
从研究意义上看,这项工作为心血管疾病风险预测提供了一种新的整体框架。研究清楚表明,仅依赖传统临床指标或遗传信息,很难全面反映一个人未来的长期心血管风险;而血液中的蛋白质和代谢物,能够更直接地反映身体当前的生理状态和疾病进展过程。将这些信息系统性地整合起来,可以更准确地预测未来心血管事件的发生。
在临床应用层面,研究提出了一种更高效的风险评估方式:通过一次血液检测,同时评估多种心血管疾病的长期风险。这种方法打破了传统“一病一模型”的做法,更贴近真实临床中多种心血管风险往往同时存在的情况,也为未来开展更精准、更高效的风险筛查提供了可能。
在精准医学的背景下,研究进一步凸显了蛋白组和代谢组信息的独特优势。与相对固定的遗传风险不同,这些分子能够反映环境、生活方式和健康状态的综合影响,因此更适合用于动态风险评估和早期干预,为心血管疾病的一级预防提供了新的科学依据。
此外,通过对模型的解释性分析,研究不仅验证了传统的 NT-proBNP 等既往已知的心血管相关生物标志物,还通过AI揭示了一批潜在的新分子线索。这些结果有助于加深对心血管疾病分子机制的理解,并为未来生物标志物开发、药物靶点发现以及治疗策略优化提供方向。
从更长远的角度来看,这项研究展示了一种具有良好扩展性的医学人工智能研究范式。随着未来进一步整合影像、心电图等多模态数据,这类模型有潜力发展为更全面的心血管风险评估工具,为临床决策提供更加个体化和前瞻性的支持。
主要作者
论文的作者包括:香港大学罗颜、崔梦瑶、张清鹏,天津医科大学第二医院刘彤、张楠,南京大学羊剑楠,香港中文大学蔡锦辉教授和利物浦大学 Gregory Y. H. Lip,张清鹏与刘彤为共同通讯作者。
雷峰网原创文章,未经授权禁止转载。详情见转载须知。







