文章来源于互联网:语言模型新范式:首个8B扩散大语言模型LLaDA发布,性能比肩LLaMA 3

AIxiv专栏是机器之心发布学术、技术内容的栏目。过去数年,机器之心AIxiv专栏接收报道了2000多篇内容,覆盖全球各大高校与企业的顶级实验室,有效促进了学术交流与传播。如果您有优秀的工作想要分享,欢迎投稿或者联系报道。投稿邮箱:liyazhou@jiqizhixin.com;zhaoyunfeng@jiqizhixin.com

正是基于这一理念,团队开发了 LLaDA(Large Language Diffusion with mAsking)—— 一种基于掩码扩散模型的语言生成方法。与传统自回归模型不同,LLaDA 采用了前向掩码加噪和反向去噪的机制,不仅突破了单向生成的局限,还通过优化似然下界,提供了一种不同于自回归的、原理严谨的概率建模方案。
-
论文链接:https://arxiv.org/abs/2502.09992 -
项目地址:https://ml-gsai.github.io/LLaDA-demo/ -
代码仓库:https://github.com/ML-GSAI/LLaDA







。在前向过程中,对文本
中的 tokens 进行逐步独立掩码,直到在 t=1 时整个序列被完全掩码。当
时,序列
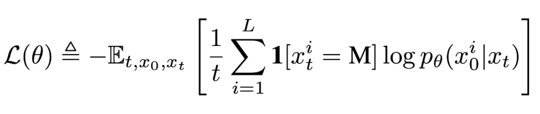
是部分掩码的,每个 token 有概率 t 被掩码,或者以概率 1-t 保留原样。而反向过程则通过在 t 从 1 逐步减小到 0 的过程中反复预测被掩码的 tokens,从而恢复出数据分布。LLaDA 的核心是一个参数化的掩码预测器
,其训练目标仅对被掩码部分计算交叉熵损失:
,先随机采样
,然后以相同概率 t 对每个 token 进行独立掩码得到
,并通过蒙特卡罗方法估计目标函数
进行优化。为增强对变长数据的处理能力,部分数据采用了随机长度。LLaDA 采用 Warmup-Stable-Decay 学习率调度器和 AdamW 优化器,设置总批量大小为 1280(每 GPU 4)。
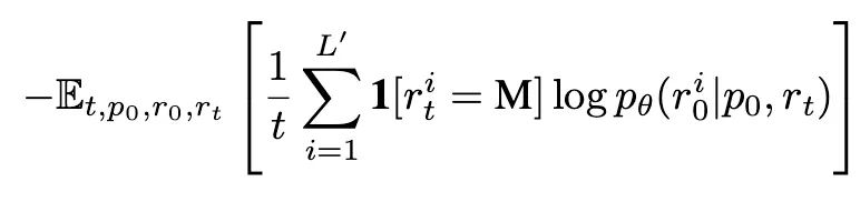
进行训练,其中
为提示,
为响应。在 SFT 中保持提示
不变,对响应
进行独立掩码生成 ,然后计算如下损失:
为响应的动态长度。整个过程与预训练一致,只是所有被掩码的 token 均来自响应部分。SFT 在 450 万对数据上进行,使用类似预训练的学习率调度和优化器设置。
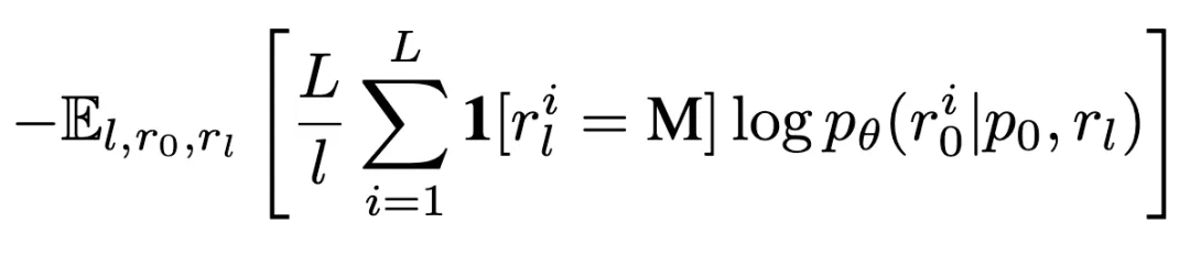
,模型从完全掩码的响应开始,通过离散化的反向过程逐步恢复文本。在每一步,模型预测所有被掩码 token 后,会按一定比例对部分预测结果进行再掩码,以保证反向过程与前向过程一致。对于条件似然评估,LLaDA 使用了下面这个和
等价但是方差更小的目标函数:
中均匀采样得到,
是通过从
中不放回地均匀采样 l 个 token 进行掩码得到。扩散语言模型 LLaDA 首次展示了通过前向掩码加噪与反向去噪机制,同样可以实现大语言模型的核心能力。实验表明,LLaDA 在可扩展性、上下文学习和指令遵循等方面表现优异,具备与传统自回归模型相媲美甚至更优的性能,同时其双向生成与增强的鲁棒性有效突破了自回归建模的固有限制,从而挑战了「大语言模型的智能必然依赖自回归生成」的传统观念。