文章来源于互联网:ACM MM24 | 复旦提出首个基于扩散模型的视频非限制性对抗攻击框架,主流CNN和ViT架构都防不住它

AIxiv专栏是机器之心发布学术、技术内容的栏目。过去数年,机器之心AIxiv专栏接收报道了2000多篇内容,覆盖全球各大高校与企业的顶级实验室,有效促进了学术交流与传播。如果您有优秀的工作想要分享,欢迎投稿或者联系报道。投稿邮箱:liyazhou@jiqizhixin.com;zhaoyunfeng@jiqizhixin.com
-
论文链接:http://arxiv.org/abs/2408.05479 -
代码链接:https://github.com/Gao-zy26/ReToMe-VA
以替代对抗输出
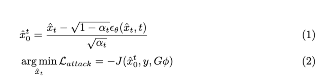
进行替代模型的预测。对抗隐变量
的计算和对抗目标函数表达如下:
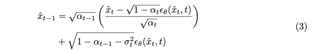
后,从
生成样本
以准备下一时间步的对抗优化:
被用作最终的对抗视频片段以欺骗目标视频识别模型。
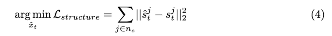
之间自注意力图的平均差异:在自注意力模块将 token 按帧划分为
和
两个集合。然后使用上述合并操作合并 token:

文章来源于互联网:ACM MM24 | 复旦提出首个基于扩散模型的视频非限制性对抗攻击框架,主流CNN和ViT架构都防不住它












